1. A Sum of money is to be distributed among Rahul, Ajay & Paban in Proportion of 5:7:11. If Ajay gets Rs 1500 more than Rahul, what is the share of Ajay?
[SSC GD 2023]
A. 4250
B. 5250
C. 4350
D. 5350
Answer:B) 5250
2. Which of the following is the smallest ratio?
[SSC Delhi Police Constable 2023]
A. 17:25
B. 21:25
C. 15:20
D. 7:21
Answer:D) 7:21
3. Which of the following is the largest ratio?
[SSC Delhi Police Constable 2023]
A. 4:5
B. 3:5
C. 7:10
D. 6:5
Answer:D) 6:5
4. If (5x-2y):(x-2y)=9:17, then find the value of 5x/9y
[SSC GD 2023]
A. 20/181
B. 20/171
C. 20/191
D. 20/261
Answer:B) 20/171
5. If P:Q=2:3, Q:R=4:7, R:S=7:3, then Value of P:Q:R:S is:
[SSC Delhi Police constable 2023]
A. 8::6:21:10
B. 8:6:19:9
C. 8:12:21:9
D. 16:24:22:9
Answer:C) 8:12:21:9
6. If 3P=2Q=5R & P+Q+R=6200, then the difference between Q & R is:
[SSC GD 2023]
A. 1600
B. 1800
C. 2000
D. 2200
Answer:B) 1800
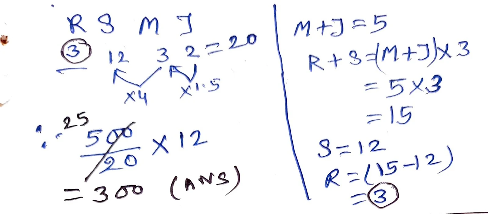
7. Divided 500 Rs among Ram, Sam, Madhu & Jadu so that Ram & Sam together get thrice as much as Madhu & Jadu together, Sam gets 4times what Madhu gets & Mahdu gets 1.5 times as much as Jadu. Then the value of Shyam is:
[SSC GD 2023]
A. 300
B. 325
C. 330
D. 350
Answer:A) 300
8. A sum of Rs 1900 is divided among Ramesh, Suresh & Naresh Such that Suresh gets Rs 100 more than Ramesh & Naresh grts Rs 200 more than Suresh. Find their share ratio?
[SSC Constable 2023]
A. 8:6:5
B. 5:8:6
C. 5:6:8
D. 6:8:5
Answer:C) 5:6:8
9. 615 coins consists of 1 rupee, 50 paise & 25 paise coins. Their Values are in the ratio of 3:5:7 respectively. Find the numer of 25 paise coins.
[SSC GD 2023]
A. 300
B. 350
C. 150
D. 420
Answer:D) 420
10. Ratio of A & B is 3:8. If 8 added to each number, then the ratio become 1:2. If 4 is Substracted from each number, then the of A & B is:
[SSC GD 2023]
A.7:2
B. 2:7
C. 7:9
D. 2:9
Answer:B)2:7

No comments:
Post a Comment